(843) 220-1718
Claim your free intro lesson!
Guitar Lessons Myrtle Beach SC
Guitar Teachers for Adults
Children’s Guitar Lessons
Student Testimonials
Free Resources
Student Community
Instructional Material
Contact
Blog
Menu
Menu
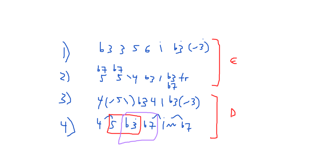
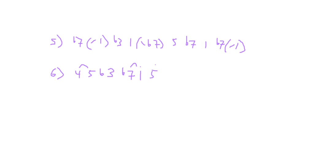
Pentatonics and Soloing
Blues Licks 2
Link to: From Studio to Stage: Preparing for Your First Guitar Performance in Myrtle Beach
Link to: From Studio to Stage: Preparing for Your First Guitar Performance in Myrtle Beach
From Studio to Stage: Preparing for Your First Guitar Performance in Myrtle...
Link to: Jazz, Common Non-diatonic Harmonic Movements
Link to: Jazz, Common Non-diatonic Harmonic Movements
Jazz, Common Non-diatonic Harmonic Movements
Scroll to top
Scroll to top
Scroll to top